Новости

Календарь Выбрать период

Омакор, Трайкор®

В базе данных и на сайте РЛС® размещены обновленные описания препаратов: Омакор; Трайкор®.

Опубликовано на сайте: 22.03.21

Словарь терминов, используемых в психиатрии

В РЛС® подготовлен и выпущен «Словарь терминов, используемых в психиатрии». Автор — Александровский Юрий Анатольевич, член-корреспондент РАН, заслуженный деятель нау...

Опубликовано на сайте: 19.03.21

Актуализированы цены на 185 ЛС

В разделе Цены на ЖНВЛП на сайте РЛС® обновлена информация. Добавлены актуальные цены на 185 лекарственных средств Перечня жизненно необходимых и важнейших лекарственных препаратов (ЖНВЛП).

Опубликовано на сайте: 19.03.21

Российские пациенты с рассеянным склерозом получат долгожданную терапию

В пресс-центре МИА «Россия сегодня» 16 марта состоялась пресс-конференция «Вернуть подвижность: долгожданное решение от российского производителя для пациентов с рассеянным склерозом». Представител...

Опубликовано на сайте: 18.03.21

РЛС® ИСС: возможности для фармацевтических специалистов

Приглашаем Вас посетить бесплатный вебинар по теме «РЛС® Информационно-справочная система. Возможности для фармацевтических специалистов». На вебинаре будут продемонстрированы следующие возможности...

Опубликовано на сайте: 17.03.21

Полисорб МП

В базе данных и на сайте РЛС® размещено обновленное описание препарата Полисорб МП.

Опубликовано на сайте: 17.03.21

Мирабегрон: взаимодействие

FDA информирует о необходимости внесения новой информации в описание мирабегрона (Взаимодействие). Мирабегрон — агонист бета3-адренорецепторов, применяется для лечения гиперактивного мочевого пузыр...

Опубликовано на сайте: 16.03.21

В помощь врачу — РЛС® Информационно-справочная система

Приглашаем врачей на бесплатный вебинар от РЛС® «Рациональный выбор лекарств с помощью РЛС® Информационно-справочная система». Мероприятие состоится на платформе Zoom в среду, 17 марта 2021 года, в...

Опубликовано на сайте: 15.03.21

Минздрав обновил перечень взаимозаменяемых ЛС

Министерство здравоохранения РФ 5 марта опубликовало новый перечень взаимозаменяемых лекарственных препаратов. Документ размещен на сайте Государственного реестра лекарственных средств. Как и прежд...

Опубликовано на сайте: 12.03.21

Даклатасвир — новое описание

Новое описание действующего вещества подготовлено и размещено в базе данных и на сайте РЛС®. Даклатасвир — противовирусное средство прямого действия против вируса гепатита С. Предназначено для лече...

Опубликовано на сайте: 11.03.21

Такролимус

FDA информирует о необходимости внесения дополнительной информации в описание иммунодепрессанта такролимус (Предупреждения и меры предосторожности). Предупреждения и меры предосторожности Риск отто...

Опубликовано на сайте: 10.03.21

Вебинар от РЛС®: как сделать выбор лекарств более эффективным?

Компания РЛС® снова проведет бесплатный вебинар по теме «Рациональный выбор лекарств с помощью РЛС® Информационно-справочная система». Мероприятие состоится на платформе Zoom в среду, 10 марта 2021...

Опубликовано на сайте: 09.03.21

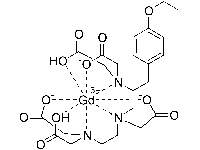
Гадоксетовая кислота

В базе данных и на сайте РЛС® размещено новое описание действующего вещества. Гадоксетовая кислота — парамагнитное контрастное средство для МРТ. Предназначено для выявления и характеризации поражен...

Опубликовано на сайте: 09.03.21

С праздником!

Коллектив РЛС® сердечно поздравляет женщин с праздником! Желаем вам весны в душе, радости, добра. Пусть жизнь будет наполнена любовью и счастьем!

Опубликовано на сайте: 05.03.21

Цефтаролина фосамил: постмаркетинговый опыт

FDA информирует о необходимости внесения новой информации в описание антибиотика цефтаролина фосамил (Меры предосторожности, Побочные действия). Меры предосторожности Неврологические побочные реакц...

Опубликовано на сайте: 04.03.21

Фонд «Круг добра» рассмотрит включение муковисцидоза в список заболеваний для финансирования

В преддверии Всемирного дня борьбы с редкими заболеваниями, который ежегодно отмечается в последний день февраля, в медиацентре «Российской газеты» представители государства, врачебного и пациентск...

Опубликовано на сайте: 03.03.21

Бесплатный вебинар от РЛС® об эффективном выборе лекарств

Приглашаем Вас посетить бесплатный вебинар по теме: «Рациональный выбор лекарств с помощью РЛС® Информационно-справочная система». В ходе вебинара будут продемонстрированы возможности системы при п...

Опубликовано на сайте: 02.03.21

Роспатент прекратил производство по делу о патенте на базальный инсулин Туджео СолоСтар®

Санофи сообщила о том, что производство по возражению компании Герофарм в отношении патента на Туджео СолоСтар®, базальный инсулин гларгин 300 ЕД/мл, прекращено Роспатентом на основании решения пре...

Опубликовано на сайте: 02.03.21

Антитела к SARS-CoV-2 можно сохранять в динамике на более высоком уровне, чем после стандартной терапии COVID-19

В журнале «Клиническая медицина» опубликованы новые данные о влиянии включения лекарственного препарата Тималин® (тимуса экстракт) в комплексную терапию пациентов с COVID-19 на динамику уровня анти...

Опубликовано на сайте: 01.03.21

Клималанин

Новая информация добавлена в описание лекарственного средства Клималанин® в базе данных и на сайте РЛС®.

Опубликовано на сайте: 26.02.21

События

Реклама: ООО «РЛС-Патент», ИНН 5044031277, erid=4CQwVszH9pWuokPrdWg

Реклама: ООО «РЛС-Патент», ИНН 5044031277

Реклама: Общероссийская общественная организация «Российское научное медицинское общество терапевтов», ИНН 7702370661

Реклама: ИП Вышковский Евгений Геннадьевич, ИНН 770406387105, erid=F7NfYUJCUneP5W78VwNF

Реклама: ИП Вышковский Евгений Геннадьевич, ИНН 770406387105, erid=F7NfYUJCUneP5W79xufv

Наш сайт использует файлы cookie, чтобы улучшить работу сайта, повысить его эффективность и удобство. Продолжая использовать сайт rlsnet.ru, вы соглашаетесь с политикой обработки файлов cookie.