Иринэкс®

0.011 ‰
Новартис Фарма

Выбор описания

Лек. форма Дозировка
70 мг/мл 140 мг/мл
70 мг/мл 140 мг/мл
Описание утверждено компанией-производителем
Описание препарата Иринэкс® (раствор для подкожного введения, 70 мг/мл) основано на официальной инструкции, утверждено компанией-производителем в 2025 году
Дата согласования: 16.06.2025
Особые отметки:
Отпускается по рецепту

Содержание

Действующее вещество

ATX

Фармакологическая группа

Нозологическая классификация (МКБ-10)

Список кодов МКБ-10

Состав

Раствор для п/к введения1 мл
действующее вещество: 
эренумаб70 мг
вспомогательные вещества: сахароза; полисорбат 80; уксусная кислота ледяная; натрия гидроксид; вода для инъекций 

Описание лекарственной формы

Раствор для п/к введения: от бесцветного до светло-желтого цвета.

Характеристика

Эренумаб представляет собой человеческое моноклональное антитело класса G2 (IgG2), с высокой аффинностью связывающееся с рецептором кальцитонин-ген-родственного пептида (CGRP). Эренумаб состоит из 2 тяжелых цепей, в каждой из которых содержится по 456 аминокислот и 2 легких цепей подкласса лямбда, состоящих из 216 аминокислот. Приблизительная молекулярная масса составляет 150 кДа. Эренумаб производится по технологии рекомбинантной ДНК в клетках яичников китайского хомячка.

Фармакологическое действие

Фармакодинамика

Механизм действия

Эренумаб — это человеческое моноклональное антитело, являющееся антагонистом рецептора CGRP, не обладает значимой фармакологической активностью в отношении рецепторов адреномедуллина, кальцитонина и амилина, а также агонистической активностью в отношении рецептора CGRP.

CGRP — это нейропептид, модулирующий передачу ноцицептивных сигналов, и вазодилататор, связанный с патофизиологией мигрени. Показано, что в отличие от других нейропептидов, концентрация CGRP значительно увеличивается во время приступа мигрени и возвращается к норме после его разрешения. В/в введение CGRP вызывает у пациентов мигренеподобную головную боль, из чего можно предположить, что CGRP может являться причиной возникновения мигрени. Рецептор к CGRP локализуется на участках, имеющих отношение к патофизиологии мигрени. Эренумаб является мощным и специфичным конкурентом CGRP за связывание с рецептором и тем самым подавляет его действие на рецептор.

Клинические данные

В рандомизированном двойном слепом плацебо-контролируемом исследовании по оценке эффективности однократного в/в введения эренумаба в дозе 140 мг у пациентов со стабильной стенокардией не отмечалось снижения переносимости физической нагрузки при нагрузочной ЭКГ-пробе (на тредмил-тесте) по сравнению с плацебо и усугубления ишемии миокарда.

Эренумаб оценивался в 3 базовых исследованиях по изучению профилактического лечения эпизодической и хронической мигрени. В исследования были включены пациенты с мигренью с аурой или без ауры в анамнезе в соответствии с диагностическими критериями Международной классификации головной боли (the International Classification of Headache Disorders, ICHD-III). Эренумаб продемонстрировал статистически и клинически значимые улучшения ключевых показателей эффективности по сравнению с плацебо.

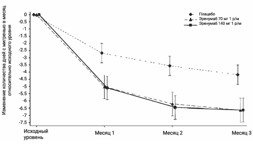
Хроническая мигрень. Эренумаб оценивался в качестве монотерапии для профилактики хронической мигрени в рандомизированном многоцентровом 12-недельном плацебо-контролируемом двойном слепом исследовании у пациентов, страдающих мигренью с аурой или без нее (≥15 дней с головной болью в месяц и ≥8 дней мигрени в месяц). В клиническом исследовании пациентов с хронической мигренью эффективность применения препарата оценивалась на основании изменения количества дней с мигренью в течение месяца (ДММ) к 3-му месяцу по сравнению с таковым показателем до лечения эренумабом (исходный уровень). Вторичными показателями эффективности служили снижение количества ДММ на 50–100% относительно исходного уровня (ответ ≥50%), изменение относительно исходного уровня количества дней в течение месяца, в которые пациенты применяли специфические препараты для купирования приступа мигрени. На рисунке 1 и в таблице 1 приведены ключевые результаты исследования. Анализ ежемесячных изменений показал, что среднемесячное количество дней с мигренью снизилось по сравнению с плацебо уже в первый месяц, а последующий анализ еженедельных изменений показал, что эффект эренумаба развивался уже на первой неделе после инъекции.

Фармакодинамика Иринэкс®

Рисунок 1. Динамика изменения количества ДММ относительно исходного уровня у пациентов с хронической мигренью.a

a Представлены среднеквадратичные средние значения и 95% ДИ. Все p-значения для разницы в среднеквадратичных средних между группами эренумаба и плацебо, которые оценивали через 3 месяца (главный показатель эффективности), составляли <0,001.

Таблица 1

Конечные точки эффективности на 12-й неделе исследования у пациентов с хронической мигренью

ПоказательЭренумаб, 70 мг
(n=188)
Эренумаб, 140 мг
(n=187)
Плацебо
(n=281)
Межгрупповая разница/отношение шансовpa
ДММ
Среднее изменениеb
(95% ДИ)
−6,6
(−7,7; −5,8)
−6,6
(−7,7; −5,8)
−4,2
(−4,9; −3,5)
70 мг
−2,5 (−3,5; −1,4)
140 мг
−2,5 (−3,5; −1,4)
<0,001
Пациенты, у которых показатель ДММ изменился на ≥50%
%39,941,223,5  
Отношение шансовc
(95% ДИ)
   Не применимо<0,001
Пациенты, у которых показатель ДММ изменился на ≥75%d
%17,020,97,8  
Отношение шансов
(95% ДИ)
   Не применимоНе применимо
Количество дней в течение месяца, в которые пациенты применяли специфические препараты для купирования приступа мигрениe
Среднее изменениеb
(95% ДИ)
−3,5
(−4,0; −2,9)
−4,1
(−4,7; −3,6)
−1,6
(−2,1; −1,1)
70 мг
−1,9 (−2,6; −1,1)
140 мг
−2,6 (−3,3; −1,8)
<0,001
Результаты субъективных ответов пациентов
HIT 6
Среднее изменениеb
(95% ДИ)
−5,6
(−6,5; −4,6)
−5,6
(−6,5; −4,6)
−3,1
(−3,9; −2,3)
70 мг
−2,5 (−3,7; −1,2)
140 мг
−2,5 (−3,7; −1,2)
Не применимо
Суммарный показатель MIDAS
Среднее изменениеb
(95% ДИ)
−19,4
(−25,2; −13,6)
−19,8
(−25,6; −14,0)
−7,5
(−12,4; −2,7)
70 мг
−11,9 (−19,3; −4,4)
140 мг
−12,2 (−19,7; −4,8)
Не применимо

ДИ — доверительный интервал; HIT (headache impact test) — индекс влияния головной боли; MIDAS (migraine disability assessment) — оценка нетрудоспособности по причине мигрени; ДММ — количество дней с мигренью в течение месяца.

a Все p-значения представлены в виде нескорректированных значений и после коррекции на множественность сравнений являются статистически значимыми.

b Cреднеквадратичное среднее изменение к месяцу 3 относительно исходного уровня, межгрупповая разница и p-значение основаны на линейной модели смешанных эффектов, в которую включены исследуемая группа, среднемесячное значение на исходном уровне, факторы стратификации (регион (Северная Америка или Европа) и злоупотребление лекарственными препаратами (имеется или отсутствует), плановый визит и взаимодействие «исследуемая группа—плановый визит»; вменения отсутствующих данных не проводили.

c Отношение шансов и p-значение для пациентов с ответом ≥50% к 3-му месяцу основано на стратифицированном критерии Кохрана-Мэнтела-Ханцеля после вменения отсутствующих данных, которые считались отсутствием ответа.

d Апостериорный анализ; никакой проверки гипотезы не проводили.

e К специфическим препаратам от мигрени относятся триптаны и производные эрготамина.

У пациентов, у которых не было достигнуто клинического ответа на один или несколько методов профилактической терапии, разница в сокращении ДММ, наблюдаемая между дозой 140 мг и плацебо, составляла −3,3 дня (95% ДИ: −4,6; −2,1), а между дозой 70 мг и плацебо —  −2,5 дня (95% ДИ: −3,8; −1,2). У пациентов, у которых не было достигнуто клинического ответа на два или более метода профилактической терапии, разница ДММ составляла −4,3 дня (95% ДИ: −5,8; −2,8) между дозой 140 мг и плацебо и −2,7 дня (95% ДИ: −4,2; −1,2) между дозой 70 мг и плацебо соответственно. Доля пациентов, получавших эренумаб, которые достигли по меньшей мере 50% сокращения ДММ, была выше по сравнению с группой плацебо среди пациентов, не достигших клинического ответа на один или несколько методов профилактической терапии (40,8% для дозы 140 мг и 34,7% для дозы 70 мг против 17,3% для плацебо), с отношением шансов 3,3 (95% ДИ: 2,0; 5,5) для дозы 140 мг и 2,6 (95% ДИ: 1,6; 4,5) для дозы 70 мг. У пациентов, не достигших клинического ответа после применения двух или более методов профилактической терапии, доля составила 41,3% для дозы 140 мг и 35,6% для дозы 70 мг против 14,2% для плацебо с отношением шансов 4,2 (95% ДИ: 2,2; 7,9) и 3,5 (95% ДИ: 1,8; 6,6) соответственно.

Эпизодическая мигрень

Эренумаб оценивался в качестве средства для профилактики эпизодической мигрени в рандомизированном многоцентровом 24-недельном плацебо-контролируемом двойном слепом исследовании у пациентов, страдающих мигренью с аурой или без нее (4–14 дней мигрени в месяц).

В клиническом исследовании пациентов с эпизодической мигренью эффективность применения препарата оценивалась на основании изменения среднемесячного количества дней с мигренью в течение месяцев 4–6 относительно исходного уровня. Вторичными показателями эффективности служили снижение на 50–100% относительно исходного уровня среднего количества ДММ (ответ ≥50%), изменение относительно исходного уровня среднего количества дней в течение месяца, в которые пациенты применяли специфические препараты для купирования приступа мигрени, и изменение относительно исходного уровня показателей по двум доменам опросника MPFID (Дневник влияния мигрени на физическую активность), связанных с ухудшением физического состояния (УФС) и повседневной активностью (ПА). Опросник MPFID — это инструмент для оценки исходов, сообщаемых пациентами, который позволяет измерить влияние мигрени на физическое функционирование (физическую активность). Он содержит 13 пунктов для оценки влияния мигрени в течение прошедших 24 часов на два аспекта физического функционирования, представляющих интерес — влияние на повседневную активность (ПА: 7 пунктов, например, трудности с выполнением действий, требующих концентрации внимания) и ухудшение физического состояния (УФС: 5 пунктов, например, трудности с выполнением действий, требующих физических усилий), а также один общий пункт для оценки влияния на повседневную активность в целом. Пациенты ежедневно оценивают время, в течение которого они ощущали влияние мигрени, или уровень затруднений, связанных с мигренью. Показатели по шкале MPFID за месяц усредняются по дням с мигренью и без мигрени; при этом чем выше показатель, тем в большей степени мигрень влияет на домены ПА и УФС.

На рисунке 2 и в таблице 2 приведены ключевые результаты исследования.

Фармакодинамика Иринэкс®

Рисунок 2. Динамика изменения количества дней с мигренью в течение месяца относительно исходного уровня в исследовании пациентов с эпизодической мигренью.

Таблица 2

Конечные точки эффективности на 13–24 неделе исследования пациентов с эпизодической мигренью

ПоказательЭренумаб, 70 мг
(n=188)
Эренумаб, 140 мг
(n=187)
Плацебо
(n=281)
Межгрупповая разница/отношение шансовpa
Количество дней с мигренью в течение месяца (ДММ)
Среднее изменениеb
(95% ДИ)
−3,2
(−3,6; −2,9)
−3,7
(−4,0; −3,3)
−1,8
(−2,2; −1,5)
70 мг
1,4 (−1,9; −0,9)
140 мг
−1,9 (−2,3; −1,4)
<0,001
Пациенты, у которых показатель ДММ изменился на ≥50%
%43,350,026,6  
Среднее изменениеb
(95% ДИ)
   Не применимо<0,001
Пациенты, у которых показатель ДММ изменился на ≥75%d
%20,822,07,9  
Среднее изменениеb
(95% ДИ)
   Не применимо<0,001
Количество дней в течение месяца, в которые пациенты применяли специфические препараты для купирования приступа мигрениe
Среднее изменениеb
(95% ДИ)
−1,1
(−1,3; −0,9)
−1,6
(−1,8; −1,4)
−0,2
(−0,4; −0,0)
70 мг
−0,9 (−1,2; −0,6)
140 мг
−1,4 (−1,7; −1,1)
<0,001
Показатель по домену ухудшения физического состояния шкалы MPFID
Среднее изменениеb
(95% ДИ)
−4,3
(−5,0; −3,5)
−4,8
(−5,6; −4,0)
−2,4
(−3,2; −1,6)
70 мг
−1,9 (−3; −0,8)
140 мг
−2,4 (−3,5; −1,4)
<0,001
Влияние на показатель по домену повседневной активности шкалы MPFID
Среднее изменениеb
(95% ДИ)
−5,5
(−6,3; −4,8)
−5,9
(−6,6; −5,1)
−3,3
(−4,1; −2,5)
70 мг
−2,2 (−3,3; −1,2)
140 мг
−2,6 (−3,6; −1,5)
<0,001
HIT 6
Среднее изменениеb
(95% ДИ)
−6,7
(−7,4; −6,0)
−6,9
(−7,6; −6,3)
−4,6
(−5,3; −4,0)
70 мг
−2,1 (−3,0; −1,1)
140 мг
−2,3 (−3,2; −1,3)
Не применимо
Суммарный показатель MIDAS
Среднее изменениеb
(95% ДИ)
−6,7
(−7,6; −5,9)
−7,5
(−8,3; −6,6)
−4,6
(−5,5; −3,8)
70 мг
−2,1 (−3,3; −0,9)
140 мг
−2,8 (−4,0; −1,7)
Не применимо
Ответ по домену ухудшения физического состояния шкалы MPFID
%39,142,530,1  
Среднее изменениеb
(95% ДИ)
   70 мг
−1,5 (−1,1; −2,1)
140 мг
−1,7 (−1,2; −2,4)
Не применимо
Ответ по влиянию на показатель по домену повседневной активности шкалы MPFID
%49,050,334,5  
Среднее изменениеb
(95% ДИ)
   70 мг
−1,8 (−1,3; −2,5)
140 мг
−1,9 (−1,4; −2,7)
Не применимо

ДИ — доверительный интервал; HIT (headache impact test) — индекс влияния головной боли; MIDAS (migraine disability assessment) — оценка нетрудоспособности по причине мигрени; ДММ — количество дней с мигренью в течение месяца; MPFID — дневник влияния мигрени на физическую активность.

a Все p-значения представлены в виде нескорректированных значений и после коррекции на множественность сравнений являются статистически значимыми.

b Среднеквадратичное среднее изменение на 4–6-й месяцы относительно исходного уровня, межгрупповая разница и p-значение основаны на линейной модели смешанных эффектов, в которую включены исследуемая группа, значение на исходном уровне, факторы стратификации (регион (Северная Америка или другой) и применение в прошлом лекарственных препаратов для профилактики мигрени (применялись, применялись в прошлом, применяются в настоящее время в качестве сопутствующих препаратов), плановый визит и взаимодействие «исследуемая группа—плановый визит»; вменения отсутствующих данных не проводили.

c Отношение шансов и p-значение для пациентов с ответом ≥50% на 4–6 месяцы основано на стратифицированном критерии Кохрана-Мэнтела-Ханцеля после вменения отсутствующих данных, которые считались отсутствием ответа.

d Апостериорный анализ; никакой проверки гипотезы не проводили.

e К специфическим препаратам от мигрени относятся триптаны и производные эрготамина.

f Снижение на ≥5 среднего месячного показателя УФС и ПА по сравнению с исходным показателем.

У пациентов, у которых не было достигнуто клинического ответа на один или несколько методов профилактического лечения, разница сокращения ДММ, наблюдаемая между дозой 140 мг и плацебо, составила −2,5 (95% ДИ: −3,4; −1,7) и между дозой 70 мг и плацебо −2,0 (95% ДИ: −2,8; −1,2). Также доля пациентов, у которых достигнуто сокращение ДММ на 50% была больше по сравнению с группой плацебо (39,7% для 140 мг и 38,6% для 70 мг, при отношении шансов 3,1 (95% ДИ: 1,7; 5,5) и 2,9 (95% ДИ: 1,6; 5,3) соответственно).

Фармакокинетика

Эренумаб характеризуется нелинейной кинетикой, что обусловлено его связыванием с рецептором CGRP. Однако при терапевтически значимых дозах фармакокинетика эренумаба после п/к введения каждые 4 недели является преимущественно линейной в связи c насыщением CGRP-рецепторов в результате связывания. У здоровых добровольцев, которым п/к вводили препарат в дозе 70 или 140 мг/мес, среднее значение Cmax составляло соответственно 6,1 мкг/мл и 15,8 мкг/мл (стандартное отклонение (SD) 2,1 мкг/мл и 4,8 мкг/мл), а среднее значение AUClast — 159 сут·мкг/мл и 505 сут·мкг/мл (SD 58 сут·мкг/мл и 139 сут·мкг/мл) соответственно.

У пациентов, получавших препарат в дозе 140 мг п/к каждые 4 недели, Cmin в сыворотке крови со временем увеличивалась менее чем в 2 раза и достигала равновесного состояния через 12 недель после начала лечения.

Всасывание

У здоровых добровольцев взрослого возраста, получавших однократную п/к инъекцию эренумаба в дозе 70 или 140 мг, медиана Cmax в плазме крови достигалась через 4–6 дней, а расчетная абсолютная биодоступность составляла 82%.

Распределение

После однократного в/в введения в дозе 140 мг средний Vd (SD) в терминальной фазе выведения (Vz) составлял около 3,86 л (0,77).

Метаболизм и выведение

Выведение эренумаба описывается двухфазной кривой. При низких концентрациях выведение происходит преимущественно за счет насыщаемого связывания с мишенью (рецептором CGRP), в то время как при более высоких концентрациях выведение эренумаба происходит преимущественно за счет неспецифического ненасыщаемого протеолиза. В период введения препарата эренумаб выводится преимущественно за счет неспецифического протеолиза с эффективным периодом полувыведения 28 дней.

Особые группы пациентов

Нарушения функции почек. У пациентов с нарушением функции почек тяжелой степени (рСКФ<30 мл/мин/1,73 м2) исследований не проводилось. Не выявлены различия в фармакокинетике эренумаба у пациентов с нарушением функции почек легкой или средней степеней тяжести и пациентов с нормальной функцией почек, по данным популяционного фармакокинетического анализа (см. «Способ применения и дозы»).

Нарушения функции печени. Клинических исследований у пациентов с нарушением функции печени не проводилось. Эренумаб, как человеческое моноклональное антитело, не метаболизируется изоферментами системы цитохрома Р450. Выведение через печень не является основным способом выведения эренумаба (см. «Способ применения и дозы»).

Показания

Профилактика мигрени у взрослых, которые имеют по крайней мере 4 дня мигрени в течение месяца.

Противопоказания

  • гиперчувствительность к действующему веществу или любому из компонентов препарата;
  • возраст до 18 лет (опыт применения у детей отсутствует).

С осторожностью: пациенты с некоторыми основными сердечно-сосудистыми заболеваниями были исключены из клинических исследований, в связи с чем данные по безопасности у этих пациентов отсутствуют.

Применение при беременности и кормлении грудью

Беременность

Данные по применению эренумаба беременными женщинами ограничены. Исследования на животных не выявили прямой или опосредованной репродуктивной токсичности эренумаба. В качестве меры предосторожности предпочтительно избегать применения препарата Иринэкс® во время беременности.

Период грудного вскармливания

Неизвестно, проникает ли эренумаб в грудное молоко женщин. Имеются данные о том, что IgG проникает в грудное молоко в течение первых нескольких дней после рождения ребенка, затем концентрация IgG снижается до низких значений. Следовательно, в течение первых нескольких дней после рождения нельзя исключить риск для ребенка, находящегося на грудном вскармливании. В течение дальнейшего периода кормления грудью применение препарата следует рассматривать исключительно с точки зрения клинической необходимости.

Способ применения и дозы

П/к.

Лечение должно начинаться врачами, имеющими опыт диагностики и лечения мигрени. Препарат показан пациентам, которые имеют по крайней мере 4 дня мигрени в течение месяца перед применением эренумаба.

Рекомендуемая доза — 70 мг 1 раз в 4 недели. У некоторых пациентов клинический эффект может достигаться при применении дозы 140 мг 1 раз в 4 недели.

Клинические исследования показали, что у большинства пациентов, отвечающих на терапию, эффект наступает в течение 3 месяцев. Следует рассмотреть возможность прекращения лечения у пациентов, у которых не получен ответ после 3 месяцев терапии. Рекомендуется регулярно оценивать необходимость продолжения лечения.

При пропуске очередной дозы рекомендуется возобновить лечение как можно раньше. В дальнейшем препарат применяется 1 раз в 4 недели, начиная с последней полученной дозы.

Препарат Иринэкс® предназначен для самостоятельного введения пациентом, прошедшим соответствующее обучение.

Введение должно осуществляться лицом, обученным технике введения препарата. Препарат можно вводить в живот, бедро или во внешнюю область плеча (инъекцию в руку следует использовать только в том случае, если инъекцию проводит не пациент, а другой человек). Места инъекций следует менять и не следует делать инъекции в области чувствительной, красной, уплотненной кожи или гематом.

Для введения дозы 140 мг следует провести две последовательные п/к инъекции препарата Иринэкс® по 70 мг каждая.

Подробные указания по хранению препарата, обращению с ним и технике введения приведены в разделе Указания по применению препарата Иринэкс®.

Особые группы пациентов

Возраст 65 лет и старше. Препарат Иринэкс® не изучался при применении у пожилых пациентов. Коррекции дозы не требуется.

Почечная недостаточность/печеночная недостаточность. У пациентов с почечной недостаточностью легкой и средней степени тяжести или печеночной недостаточностью коррекции дозы не требуется.

Указания по применению препарата Иринэкс®

Инструкция по применению препарата Иринэкс®, раствор для п/к введения 70 мг/мл, в предварительно заполненном шприце

Одноразовый предварительно заполненный шприц

Способ применения и дозы Иринэкс®

Важно: игла находится внутри серого колпачка.

Важно: перед применением препарата Иринэкс® (предварительно заполненный шприц) ознакомьтесь с важной информацией.

Хранение. Хранить препарат в недоступном и невидном для детей месте.

Хранить препарат в оригинальной упаковке для защиты от света или физических повреждений.

Хранить препарат в холодильнике при температуре 2–8°C.

Вне холодильника длительность хранения препарата при комнатной температуре (до 25°C) не должна превышать 7 дней.

Не убирать препарат обратно в холодильник, после того как он был из него извлечен. Не применять препарат, если он хранился при комнатной температуре (до 25°C) в течение более 7 дней.

Препарат следует утилизировать в случае его хранения при более высокой температуре, либо более 7 дней.

Не подвергать препарат воздействию экстремально низких или высоких температур.

Например, избегать хранения препарата в машине.

Не замораживать.

Применение. Не пытаться вводить препарат Иринэкс® до того, как лечащий врач или медсестра не обучат пациента технике введения препарата.

Не применять препарат после истечения срока годности, указанного на упаковке.

Не встряхивать шприц.

Не снимать серый колпачок со шприца до тех пор, пока пациент не будет готов к введению препарата.

Не замораживать препарат и не применять препарат, если он был заморожен.

Не использовать шприц, если он падал на твердую поверхность, т.к. часть шприца может быть повреждена, даже если пациент не видит каких-либо повреждений. В этом случае следует взять новый шприц и сообщить об этом лечащему врачу.

В сером колпачке иглы содержится натуральный латекс, что может вызвать аллергические реакции у лиц, имеющих аллергическую реакцию на латекс. Сообщить лечащему врачу, если у пациента есть аллергическая реакция на латекс.

За более подробной информацией или помощью следует обратиться к лечащему врачу.

Шаг 1. Подготовка перед инъекцией.

Следует ознакомиться с данной информацией до введения препарата.

Проверить назначение врача.

Лечащий врач назначил пациенту дозу 70 или 140 мг. Для введения дозы 70 мг будет нужно полностью ввести содержимое одного предварительно заполненного шприца. Для введения дозы 140 мг понадобится 2 последовательные инъекции (2 предварительно заполненных шприца) по 70 мг каждая.

Чтобы избежать дискомфорта в месте инъекции, следует оставить шприцы при комнатной температуре в течение минимум 30 минут до начала инъекции. Не пытаться нагреть шприц за счет внешнего источника тепла, например горячей водой или в микроволновой печи.

Не оставлять шприц на прямом солнечном свете.

A) Достать предварительно заполненный шприц с препаратом Иринэкс® из картонной пачки.

Взяться за цилиндр шприца, чтобы достать его из упаковки.

Указательным и большим пальцем придерживать держатель.

Способ применения и дозы Иринэкс®

Удерживать шприц за цилиндр.

Способ применения и дозы Иринэкс®

Б) Внимательно осмотреть предварительно заполненный шприц с препаратом Иринэкс®.

Всегда держать шприц за цилиндр.

Убедиться, что препарат в шприце является прозрачным бесцветным или светло-желтым раствором.

Оставить шприц при комнатной температуре в течение минимум 30 минут до инъекции.

Не использовать шприц, если препарат в нем мутный или изменил цвет, а также содержит хлопья или частицы.

Не использовать шприц, если любая его часть имеет трещину или сломана.

Не использовать шприц, если его роняли.

Не использовать шприц, если серый колпачок иглы отсутствует или плохо закрыт.

Не использовать шприц, если срок годности, указанный на этикетке, истек.

Во всех указанных случаях использовать новый шприц, а в случае сомнений следует обратиться к лечащему врачу.

Способ применения и дозы Иринэкс®

В) Приготовить все материалы, необходимые для инъекции. Тщательно вымыть руки с мылом.

На чистую, хорошо освещенную рабочую поверхность положить:

- 1 или 2 новых шприца (в зависимости от назначенной дозы);

- спиртовые салфетки;

- ватные шарики или марлевые тампоны;

- лейкопластырь;

- контейнер для утилизации острых предметов.

Способ применения и дозы Иринэкс®

Г) Подготовить и очистить место инъекции(й).

Инъекцию можно производить только в:

- бедро;

- область живота, за исключением 5 см вокруг пупка;

- внешнюю поверхность плеча (только если инъекция проводится с посторонней помощью).

Способ применения и дозы Иринэкс®

Очистить предполагаемое место инъекции спиртовой салфеткой и подождать, пока поверхность кожи станет сухой.

Не прикасаться к этой зоне до инъекции.

Если пациент хочет вводить препарат в ту же самую область, следует убедиться, что это не то же самое место предыдущей инъекции.

Не производить инъекцию в область поврежденной кожи (истончение, покраснение, раздражение, уплотнение, шелушение, сыпь, кровоизлияния). Избегать введения в места с наличием шрамов и растяжек.

Шаг 2. Непосредственно перед введением.

Д) Снять серый колпачок с иглы в направлении от себя, когда пациент будет готов к инъекции. Не оставлять серый колпачок снятым более 5 минут. Это может привести к высыханию препарата.

Наличие на конце иглы капли препарата является нормальным.

Не скручивать и не сгибать серый колпачок.

Не надевать серый колпачок обратно на шприц.

Не снимать серый колпачок с иглы до тех пор, пока пациент не будет готов к инъекции.

Способ применения и дозы Иринэкс®

Е) Создать складку кожи в месте введения, чтобы образовалась плотная поверхность для инъекции.

Удерживать кожу между большим и указательным пальцами, создавая зону около 5 см шириной.

Важно: во время проведения самой инъекции продолжать удерживать кожу в этом положении.

Способ применения и дозы Иринэкс®

Шаг 3. Инъекция.

Ж) Удерживая складку кожи, ввести иглу шприца со снятым серым колпачком в кожу под углом 45–90 градусов. Не помещать палец на поршень, пока вводится игла.

Способ применения и дозы Иринэкс®

З) Медленно, не останавливаясь, надавить на поршень вниз, пока он не перестанет двигаться.

Способ применения и дозы Иринэкс®

И) После этого убрать палец и плавно удалить шприц из кожи.

Важно: если при удалении шприца пациент обнаружит, что в цилиндре остался раствор, значит, введена неполная доза. Сразу же сообщить об этом лечащему врачу.

Способ применения и дозы Иринэкс®

Шаг 4. После инъекции.

К) Утилизировать использованный шприц и серый колпачок.

Положить использованный шприц в контейнер для утилизации острых предметов сразу после использования. Не бросать в бытовой мусор.

Обсудить с лечащим врачом, как правильно утилизировать шприц.

Не использовать шприц повторно.

Не следует повторно использовать шприц или контейнер для утилизации острых предметов или выбрасывать их в бытовой мусор.

Важно: всегда хранить контейнер для утилизации острых предметов в недоступном для детей месте.

Способ применения и дозы Иринэкс®

Л) Осмотреть место введения.

При появлении крови прижать ватный шарик или марлевый тампон к месту инъекции. Не растирать место инъекции. При необходимости использовать лейкопластырь.

Если пациенту была назначена доза 140 мг, повторить все шаги со вторым шприцем для получения полной дозы.

Инструкция по применению препарата Иринэкс®, раствор для п/к введения 70 мг/мл, в предварительно заполненном шприце в автоинжекторе (шприц-ручке)

Одноразовый предварительно заполненный шприц в автоинжекторе (шприц-ручке)

Способ применения и дозы Иринэкс®

Важно: игла внутри зеленого предохранителя.

Важно: перед применением препарата Иринэкс® (предварительно заполненный шприц в автоинжекторе (шприц-ручке) следует ознакомиться с важной информацией.

Хранение. Хранить препарат в недоступном и невидном для детей месте.

Хранить препарат в оригинальной упаковке для защиты от света или физических повреждений. Хранить препарат в холодильнике при температуре 2–8°C.

Вне холодильника длительность хранения препарата при комнатной температуре (до 25°C) не должна превышать 7 дней.

Не убирать препарат обратно в холодильник, после того как он был из него извлечен.

Не применять препарат, если он хранился при комнатной температуре (до 25°C) в течение более 7 дней.

Препарат следует утилизировать в случае его хранения при более высокой температуре либо более 7 дней.

Не подвергать препарат воздействию экстремально низких или высоких температур. Например, избегать хранения препарата в машине.

Не замораживать.

Применение. Не пытаться вводить препарат Иринэкс® до того, как лечащий врач или медсестра не обучат пациента технике введения препарата.

Не применять препарат после истечения срока годности, указанного на упаковке.

Не встряхивать автоинжектор.

Не снимать белый колпачок с автоинжектора до тех пор, пока пациент не будет готов к введению препарата.

Не замораживать препарат и не применять препарат, если он был заморожен.

Не использовать автоинжектор, если он падал на твердую поверхность, т.к. часть автоинжектора может быть повреждена, даже если пациент не видит каких-либо повреждений. В этом случае следует взять новый автоинжектор и сообщить об этом лечащему врачу.

В белом колпачке иглы содержится натуральный латекс, что может вызвать аллергические реакции у лиц, имеющих аллергическую реакцию на латекс. Следует сообщить лечащему врачу, если у пациента есть аллергическая реакция на латекс.

За более подробной информацией или помощью обращаться к лечащему врачу.

Шаг 1. Подготовка перед инъекцией.

Следует ознакомиться с данной информацией до введения препарата.

Проверить назначение врача.

Лечащий врач назначил пациенту дозу 70 или 140 мг.

Для введения дозы 70 мг будет нужно полностью ввести содержимое 1 предварительно заполненной шприц-ручки. Для введения дозы 140 мг понадобится 2 последовательные инъекции (2 предварительно заполненных шприц-ручки) по 70 мг каждая.

Чтобы избежать дискомфорта в месте инъекций, оставить шприцы при комнатной температуре в течение минимум 30 минут до начала инъекции.

A) Достать автоинжектор с препаратом Иринэкс® из картонной пачки.

Аккуратно достать автоинжектор из картонной пачки в направлении вверх.

Оставить автоинжектор при комнатной температуре в течение минимум 30 минут до инъекции.

Не убирать автоинжектор обратно в холодильник после того, как препарат достиг комнатной температуры.

Не пытаться нагреть автоинжектор за счет внешнего источника тепла, например горячей водой или в микроволновой печи.

Не оставлять автоинжектор на прямом солнечном свете.

Не встряхивать автоинжектор.

На этом этапе не снимать с автоинжектора белый колпачок.

Б) Внимательно осмотреть предварительно заполненный шприц с препаратом Иринэкс®.

Убедиться, что препарат в окошке является прозрачным бесцветным или светложелтым раствором.

Не использовать автоинжектор, если препарат в нем мутный или изменил цвет, а также содержит хлопья или частицы.

Не использовать автоинжектор, если любая его часть имеет трещину или сломана.

Не использовать автоинжектор, если его роняли.

Не использовать автоинжектор, если белый колпачок иглы отсутствует или плохо закрыт.

Не использовать автоинжектор, если срок годности, указанный на этикетке, истек.

Во всех указанных случаях используют новый автоинжектор, а в случае сомнений следует обратиться к лечащему врачу.

Способ применения и дозы Иринэкс®

В) Приготовить все материалы необходимые для инъекции. Тщательно вымыть руки с мылом.

На чистую, хорошо освещенную рабочую поверхность положить:

- 1 или 2 новых автоинжектора (в зависимости от назначенной дозы);

- спиртовые салфетки;

- ватные шарики или марлевые тампоны;

- лейкопластырь;

- контейнер для утилизации острых предметов.

Способ применения и дозы Иринэкс®

Г) Подготовить и очистить место инъекции(й).

Инъекцию можно производить только в:

- бедро;

- область живота, за исключением 5 см вокруг пупка;

- внешнюю поверхность плеча (только если инъекция проводится с посторонней помощью).

Способ применения и дозы Иринэкс®

Очистить предполагаемое место инъекции спиртовой салфеткой и подождать, пока поверхность кожи станет сухой.

Не прикасаться к этой зоне до инъекции.

Если пациент хочет вводить препарат в ту же самую область, убедиться, что это не то же самое место предыдущей инъекции.

Не производить инъекцию в область поврежденной кожи (истончение, покраснение, раздражение, уплотнение, шелушение, сыпь, кровоизлияния). Избегать введения в места с наличием шрамов и растяжек.

Шаг 2. Непосредственно перед введением.

Д) Снять белый колпачок с иглы в направлении от себя, когда будете готовы к инъекции. Не оставлять белый колпачок снятым более 5 минут. Это может привести к высыханию препарата.

Наличие на конце иглы капли препарата является нормальным.

Не скручивать и не сгибать белый колпачок.

Не надевать белый колпачок обратно на автоинжектор.

Не вставлять пальцы в зеленый предохранитель.

Не снимать белый колпачок с иглы до тех пор, пока пациент не будет готов к инъекции.

Способ применения и дозы Иринэкс®

Е) Создать складку кожи в выбранном месте введения (бедро, область живота, плечо), используя метод с растяжением или оттягиванием кожи.

Метод с растяжением кожи. Уверенным движением растянуть кожу, для чего нажать на нее и развести большой и указательный пальцы в разные стороны, создав область шириной около 5 см.

Способ применения и дозы Иринэкс®

Метод с оттягиванием кожи. Оттянуть кожу, зажав ее большим и указательным пальцами и создав область шириной около 5 см.

Способ применения и дозы Иринэкс®

Важно: во время инъекции удерживать кожу в растянутом или оттянутом состоянии.

Шаг 3. Инъекция.

Ж) Удерживать кожу в растянутом или оттянутом состоянии. Подвести шприц-ручку со снятым белым колпачком к коже под углом 90 градусов. Игла внутри зеленого предохранителя.

Пока не прикасаться к фиолетовой кнопке пуска.

Способ применения и дозы Иринэкс®

З) Уверенным движением протолкнуть шприц-ручку вниз, пока она не перестанет двигаться.

Проталкивание вниз

Способ применения и дозы Иринэкс®

Важно: необходимо протолкнуть автоинжектор вниз до конца, не касаясь фиолетовой кнопки пуска до тех пор, пока пациент не будет готов сделать инъекцию.

И) Когда пациент будет готов к инъекции, нажать на фиолетовую кнопку пуска. При этом будет слышен щелчок.

Способ применения и дозы Иринэкс®

К) Продолжать давить на кожу. Инъекция может занять около 15 секунд.

Способ применения и дозы Иринэкс®
Способ применения и дозы Иринэкс®

Важно: после завершения инъекции окошко становится желтым и будет слышен второй щелчок.

Способ применения и дозы Иринэкс®

Примечание: после того, как автоинжектор будет удален с кожи, игла будет автоматически покрыта.

Важно: если после извлечения автоинжектора окошко не стало желтым либо кажется, что инъекция препарата продолжается, значит, введена неполная доза. Следует незамедлительно обратиться к лечащему врачу.

Способ применения и дозы Иринэкс®

Шаг 4. После инъекции

Л) Утилизировать использованный автоинжектор и белый колпачок.

Положить использованный автоинжектор в контейнер для утилизации острых предметов сразу после использования.

Обсудить с лечащим врачом, как правильно утилизировать автоинжектор.

Не использовать автоинжектор повторно.

Не помещать автоинжектор или контейнер для острых отходов в емкости для рециклинга и не выбрасывать их вместе с бытовым мусором.

Важно: всегда хранить контейнер для утилизации острых предметов в недоступном и невидном для детей месте.

Способ применения и дозы Иринэкс®

М) Осмотреть место введения.

При появлении крови прижать ватный шарик или марлевый тампон к месту инъекции. Не растирать место инъекции. При необходимости использовать лейкопластырь.

Если пациенту была назначена доза 140 мг, повторить все шаги со вторым автоинжектором для получения полной дозы.

Побочные действия

Краткий обзор профиля безопасности

В общей сложности в ходе регистрационных исследований эренумаб применялся более чем у 2500 пациентов (более 2600 пациенто-лет). Из них более 1300 пациентов применяли препарат не менее 12 месяцев.

Сообщалось о нежелательных реакциях (НР) для 70 и 140 мг: реакции в месте введения (5,6/4,5%), запор (1,3/3,2%), мышечные спазмы (0,1/2,0%) и зуд (0,7/1,8%). Большинство реакций были легкой или средней степени тяжести. Менее чем 2% пациентов прекратили участие в этих исследованиях из-за нежелательных явлений.

Перечень НР в табличном формате

Все НР, зарегистрированные у пациентов, получавших эренумаб в 12-недельный плацебо-контролируемый период клинических исследований, а также в период пострегистрационного применения препарата приведены в таблице 3. Внутри каждого системно-органного класса НР представлены по категориям частоты встречаемости, причем сначала указаны наиболее частые реакции. Внутри каждой категории частоты НР представлены в порядке уменьшения степени их серьезности. Кроме того, для каждой НР приведена соответствующая ей категория частоты в соответствии со следующими обозначениями: очень часто (≥1/10); часто (≥1/100, <1/10); нечасто (≥1/1000, <1/100); редко (≥1/10000, <1/1000); очень редко (<1/10000).

Таблица 3

НР, возникавшие на фоне применения эренумаба

Системно-органный классНРКатегория частоты
Со стороны иммунной системыРеакции гиперчувствительностиa, включая анафилаксию, ангионевротический отек, сыпь, припухлость/отек и крапивницуЧасто
Со стороны ЖКТЗапорЧасто
Язвенные поражения полости ртаbЧастота неизвестна
Со стороны кожи и подкожных тканейЗудcЧасто
Алопеция, сыпьdЧастота неизвестна
Со стороны костно-мышечной системы и соединительной тканиМышечный спазмЧасто
Общие расстройства и нарушения в месте введенияРеакции в месте введенияaЧасто

a См. Описание отдельных НР

b Термин «Язвенные поражения полости рта» включает такие предпочтительные термины, как стоматит, язвы во рту, образование пузырей на слизистой оболочке рта.

c Термин «зуд» включает такие предпочтительные термины, как генерализованный зуд, зуд и зудящая сыпь.

d Термин «сыпь» включает такие предпочтительные термины, как папулезная сыпь, эксфолиативная сыпь, эритематозная сыпь, крапивница, волдырь.

Описание отдельных нежелательных реакций

Реакции в месте введения. В объединенном анализе 12-недельного плацебо-контролируемого периода клинических исследований реакции в месте введения были легкие и проходящие. У одного пациента, получившего эренумаб в дозе 70 мг, препарат был отменен в связи с развитием сыпи в месте введения. Наиболее частыми реакциями в месте введения были боль в месте введения, эритема в месте введения и зуд в месте введения. Как правило, боль в месте инъекции проходит в течение 1 ч после инъекции.

Кожные реакции и реакции гиперчувствительности. В объединенном анализе 12-недельного плацебо-контролируемого периода исследований наблюдались несерьезные случаи сыпи, зуда и припухлости/отека, которые в большинстве случаев были легкими и не привели к прекращению лечения.

Запор. В объединенном анализе 12-недельного плацебо-контролируемого периода исследований зарегистрировано 28 сообщений о случаях запора среди 1400 пациентов, получавших препарат Иринэкс®. Все нежелательные явления были легкими или умеренными по степени тяжести. В большинстве этих случаев (23) симптомы появились в течение одного месяца после первого введения препарата, однако у некоторых пациентов запор наблюдался позднее на фоне продолжения терапии. В большинстве случаев (18) запор разрешился в течение трех месяцев. Все пациенты, за исключением одного, продолжили лечение.

Иммуногенность. В клинических исследованиях профилактического лечения мигрени на протяжении двойной слепой фазы исследования частота образования антител к эренумабу у пациентов, получавших эренумаб в дозе 70 мг, составила 6,3% (56/884) (у 3 пациентов нейтрализующая активность определялась in vitro) и 2,6% (13/504) у пациентов, получавших эренумаб в дозе 140 мг (in vitro нейтрализующая активность не определялась ни у одного пациента). Образование антител к эренумабу не влияло на его эффективность или безопасность.

Пострегистрационные данные

Со стороны иммунной системы. В пострегистрационном периоде отмечены реакции гиперчувствительности, включая сыпь, ангионевротический отек и анафилактоидные реакции (см. «Особые указания»).

Со стороны ЖКТ. Зарегистрированы случаи запора с серьезными осложнениями в пострегистрационном применении. В большинстве этих случаев нежелательные явления наблюдались после введения первой дозы препарата Иринэкс®, однако они могли возникать и позднее на фоне продолжения терапии. Многие случаи запора с серьезными осложнениями были зарегистрированы у пациентов с наличием в анамнезе эпизодов запора или получавших сопутствующую терапию лекарственными препаратами, уменьшающими моторику ЖКТ. В отдельных тяжелых случаях потребовалась госпитализация.

Отмечались язвы полости рта (например, стоматиты, изъязвление слизистой оболочки полости рта, образование пузырей на слизистой оболочке полости рта).

Со стороны кожи и подкожных тканей. Алопеция, кожная сыпь (например, папулезная сыпь, эксфолиативная сыпь, эритематозная сыпь, крапивница, образование волдырей).

Со стороны сосудов. Артериальная гипертензия.

Если любые из указанных в инструкции побочных эффектов усугубляются или пациент заметил любые другие побочные эффекты, не указанные в инструкции, следует сообщить об этом врачу.

Взаимодействие

В открытом исследовании фармакокинетического лекарственного взаимодействия эренумаба и комбинированных пероральных контрацептивов у здоровых женщин эренумаб (однократная п/к инъекция в дозе 140 мг) не влиял на фармакокинетику комбинированных пероральных контрацептивов, содержащих этинилэстрадиол и норгестимат.

В рандомизированном двойном слепом плацебо-контролируемом исследовании у здоровых добровольцев эренумаб (однократное в/в введение в дозе 140 мг), применяемый одновременно с суматриптаном, никак не влиял на показатели артериального давления в покое по сравнению с суматриптаном в качестве монотерапии. Эренумаб не оказывал влияния на фармакокинетику суматриптана.

Эренумаб не метаболизируется изоферментами цитохрома P450; также маловероятно, что он может вызывать заметные изменения концентрации провоспалительных цитокинов, которые способны влиять на экспрессию или активность изоферментов цитохрома P450. По этой причине лекарственные взаимодействия при одновременном применении препаратов, которые являются субстратами, индукторами или ингибиторами изоферментов цитохрома P450, представляются маловероятными.

Влияние на результаты лабораторных и диагностических исследований

Влияние эренумаба на результаты лабораторных и/или диагностических исследований не изучалось.

Передозировка

Симптомы: в клинических исследованиях не было выявлено случаев передозировки эренумаба у человека. В клинических исследованиях эренумаб применяли п/к в дозах до 280 мг без каких-либо признаков дозоограничивающей токсичности.

Лечение: поддерживающая и симптоматическая терапия по мере необходимости.

Особые указания

Реакция гиперчувствительности

В пострегистрационном периоде на фоне применения препарата Иринэкс® сообщалось о случаях серьезных реакций гиперчувствительности, включая сыпь, ангионевротический отек и анафилактоидные реакции. Данные реакции могут произойти в течение нескольких минут, хотя некоторые из них могут произойти более чем через неделю после лечения. Если возникает серьезная или тяжелая реакция гиперчувствительности, необходимо прекратить прием препарата Иринэкс® и начать соответствующую терапию (см. «Противопоказания»).

Пациенты с гиперчувствительностью к латексу

Съемная крышка предварительно заполненного шприца и автоинжектора (шприц-ручки) содержит сухой натуральный каучуковый латекс, который может вызывать аллергические реакции у лиц, чувствительных к латексу.

Запор

Запор является частым побочным эффектом при применении препарата Иринэкс® и обычно характеризуется легкой или умеренной интенсивностью. В большинстве случаев о появлении запоров сообщалось сразу после применения первой дозы препарата, однако пациенты испытывали запор и позже в течение курса лечения. В большинстве случаев запор разрешался в течение 3 месяцев. При пострегистрационном применении эренумаба отмечались запоры, сопровождающиеся серьезными осложнениями. В некоторых случаях требовалась госпитализация, в том числе обусловленная необходимостью хирургического вмешательства.

Запор в анамнезе или одновременный прием препаратов, связанных со сниженной перистальтикой ЖКТ, может привести к увеличению риска развития более тяжелых запоров и осложнений, связанных с запорами. Следует предупредить пациентов об опасности развития тяжелых запоров и рекомендовать обратиться к врачу, в том случае, если запор не проходит или усиливается. При развитии тяжелых запоров пациентам следует немедленно обратиться за медицинской помощью. Лечение запора следует начать незамедлительно, учитывая наличие медицинских показаний. При развитии тяжелых запоров необходимо прекратить применение препарата.

Артериальная гипертензия

Сообщалось о развитии артериальной гипертензии и утяжелении уже имеющейся артериальной гипертензии после применения препарата Иринэкс®. У многих пациентов уже имелась артериальная гипертензия или факторы риска развития этого заболевания. В некоторых случаях требовалась медикаментозная терапия и даже госпитализация. При применении препарата Иринэкс® следует наблюдать за состоянием пациентов на предмет развития артериальной гипертензии или утяжеления уже имеющейся артериальной гипертензии. В соответствующих случаях, если не удалось установить альтернативную этиологию осложнений, следует рассмотреть отмену препарата Иринэкс®.

Фертильность

Данных по влиянию эренумаба на репродуктивную функцию человека нет. При системных экспозициях эренумаба у половозрелых обезьян, до 283 или 123 раз превышающих экспозицию (оцениваемую по AUC для сыворотки крови) у человека, достигаемую в случае применения препарата в клинической дозе 70 или 140 мг 1 раз в месяц, никаких нежелательных действий в отношении суррогатных маркеров фертильности (патологоанатомических или гистопатологических изменений репродуктивных органов) не наблюдалось.

Влияние на способность управлять транспортными средствами и/или механизмами. Препарат Иринэкс® не оказывает значительного влияния на способность управлять транспортными средствами и/или механизмами.

Форма выпуска

Раствор для п/к введения, 70 мг/мл. По 1 мл в предварительно заполненном шприце из стекла I гидролитического класса с иглой из нержавеющей стали и колпачком иглы из резины, содержащей латекс, или по 1 мл в предварительно заполненном шприце из стекла I гидролитического класса с иглой из нержавеющей стали и колпачком иглы из резины, содержащей латекс, в автоинжекторе (шприц-ручке).

Вторичная упаковка: 1 предварительно заполненный шприц или 1 предварительно заполненная шприц-ручка вместе с инструкцией по применению лекарственного препарата помещают в пачку картонную с контролем первичного вскрытия.

Производитель

Производство готовой лекарственной формы, первичная упаковка: ООО «Амджен Мэньюфэкчуринг Лимитед», Стейт Роуд 31, Км. 24,6, Джанкос, ПуэртоРико, 00777, Соединенные Штаты Америки/Amgen Manufacturing Limited LLC, Carr 31 KM 24.6, Juncos, Puerto Rico 00777, USA.

Вторичная (потребительская) упаковка, выпускающий контроль качества: Новартис Мэньюфекчуринг НВ, Рейксвег 14, Пуурс-Синт-Амандс, 2870, Бельгия/Novartis Manufacturing NV, Rijksweg 14, Puurs-Sint-Amands, 2870, Belgium (предварительно заполненные шприцы).

Новартис Фармасьютикал Мэньюфекчуринг ГмбХ, Биохемиштрассе, 10, 6336 Лангкампфен, Австрия/Novartis Pharmaceutical Manufacturing GmbH, Biochemiestrasse, 10, 6336 Langkampfen, Austria (предварительно заполненные шприц-ручки).

Владелец регистрационного удостоверения: Новартис Оверсиз Инвестментс АГ, Лихтштрассе, 35, 4056 Базель, Швейцария/Novartis Overseas Investments AG, Lichtstrasse, 35, 4056 Basel, Switzerland.

Организация, принимающая претензии потребителей: ООО «Новартис Фарма», 125315, Москва, Ленинградский пр-т, 70.

Тел.: (495) 967-12-70; факс: (495) 967-12-68.

www.novartis.ru

Условия отпуска из аптек

По рецепту.

Условия хранения

При температуре 2–8 °C, не замораживать, в картонной пачке для защиты от света.
Хранить в недоступном для детей месте.

Срок годности

3 года.
Не применять по истечении срока годности, указанного на упаковке.

Описание проверено

Заказ в аптеках

Название препарата Цена за упак., руб. Аптеки
Иринэкс®, раствор для подкожного введения, 70 мг/мл, шприц 1 мл - пачка картонная Производитель: Амджен Мэньюфэкчуринг Лимитед (Пуэрто-Рико/США), упаковщик: Амджен Европа Б.В. (Нидерланды)
22281.00
Планета здоровья
Иринэкс®, раствор для подкожного введения, 70 мг/мл, шприц 1 мл - пачка картонная Производитель: Амджен Мэньюфэкчуринг Лимитед (Пуэрто-Рико/США), упаковщик: с.а. Алкон-Куврер н.в. (Бельгия)
25910.00
Здесь аптека
Иринэкс®, раствор для подкожного введения, 70 мг/мл, шприц 1 мл - пачка картонная Производитель: Амджен Мэньюфэкчуринг Лимитед (Пуэрто-Рико/США), упаковщик: Новартис Фармасьютикал Мэньюфекчуринг ГмбХ (Австрия)
20699.00
Асна
Иринэкс®, раствор для подкожного введения, 70 мг/мл, шприц-ручка 1 мл - пачка картонная Производитель: Амджен Мэньюфэкчуринг Лимитед (Пуэрто-Рико/США), упаковщик: Новартис Фармасьютикал Мэньюфекчуринг ГмбХ (Австрия)
24193.00
Аптека.ру
Представленная информация о ценах на препараты не является предложением о продаже или покупке товара.
Информация предназначена исключительно для сравнения цен в стационарных аптеках, осуществляющих деятельность в соответствии со статьей 55 Федерального закона «Об обращении лекарственных средств» от 12.04.2010 № 61-ФЗ.

События

Реклама: ООО «РЛС-Патент», ИНН 5044031277, erid=4CQwVszH9pWuokPrdWg

Реклама: ИП Вышковский Евгений Геннадьевич, ИНН 770406387105, erid=F7NfYUJCUneP5W79xufv

Реклама: ИП Вышковский Евгений Геннадьевич, ИНН 770406387105, erid=F7NfYUJCUneP5W78VwNF

Наш сайт использует файлы cookie, чтобы улучшить работу сайта, повысить его эффективность и удобство. Продолжая использовать сайт rlsnet.ru, вы соглашаетесь с политикой обработки файлов cookie.